Lompat ke konten Lompat ke sidebar Lompat ke footer

Seleksi Mandiri Upi 2021 : Pengumuman Snmptn Utbk Sbmptn Upi 2021 Jadwal Syarat Hasil - Please fill this form, we will try to respond as soon as possible.

Jalur mandiri • pendaftaran » pendaftaran dan biaya seleksi mandiri upi 2021. Jalur daftar upi terakhir adalah seleksi mandiri (sm). Ukt serta biaya berupa uang pangkal mahasiswa yang masuk dari seleksi mandiri upi umumnya lebih besar dari snmptn maupun sbmptn. Untuk kalian yang sebelumnya telah mengikuti sbmptn. Jadi buat brainies yang mau daftar seleksi mandiri uns, berikut informasi lengkapnya.

Informasi seleksi mandiri ptn ini merupakan tambahan atau penjelasan dari informasi yang pernah kami susun berdasarkan pada jadwal seleksi mandiri ptn um upi (sm upi). Pendaftaran Mahasiswa Baru Upi D3 S1 S2 S3 T A 2021 2022 Pendaftaran Mahasiswa
Pendaftaran Mahasiswa Baru Upi D3 S1 S2 S3 T A 2021 2022 Pendaftaran Mahasiswa from 1.bp.blogspot.com
Seleksi mandiri universitas brawijaya merupakan seleksi masuk yang diselenggarakan secara mandiri oleh universitas brawijaya untuk. Hasil nilai utbk dapat digunakan kembali untuk mengikuti jalur mandiri ptn. Seleksi mandiri diperuntukkan bagi siswa sma/ma/smk sejenis yang sesuai dengan persyaratan yang ditentukan oleh its dari masyarakat seleksi mandiri its dari jadwal, syarat, dan informasi pendaftaran dari zenius education. Informasi seleksi mandiri perguruan tinggi negeri tahun akademik 2021/2022. Jalur mandiri • pendaftaran » pendaftaran dan biaya seleksi mandiri upi 2021. Jalur seleksi mandiri ini bisa menjadi jalur alternatif terakhir bagi kalian. Sebelum mamikos menginformasikan tentang pengumuman hasil seleksi ujian mandiri sm upi tahun 2021, mamikos akan terlebih dahulu menginformasikan tentang sekilas pendaftarannya. Seleksi mandiri upi akan dilaksanakan melalui ujian tulis berbasis komputer (utbk).

Setiap tahun pendaftaran seleksi mandiri upi bandung selalu mendapatkan peminat dari calon mahasiswa baru yang ingin melanjutkan kuliah di universitas pendidikan indonesia.

Ukt serta biaya berupa uang pangkal mahasiswa yang masuk dari seleksi mandiri upi umumnya lebih besar dari snmptn maupun sbmptn. Jalur mandiri sesuai kebijakan universitas. Yuk, simak dan catat jadwalnya. Kuota yang disediakan upi untuk jalur seleksi mandiri wakil rektor bidang pendidikan dan kemahasiswaan upi, didi sukyadi mengatakan, tujuan dibukanya jalur seleksi mandiri upi 2021 adalah untuk. Download seleksi mandiri upi 2021. Seleksi mandiri universitas brawijaya merupakan seleksi masuk yang diselenggarakan secara mandiri oleh universitas brawijaya untuk program sarjana (s1) dan vokasi (d3 & d4). Jadi, buat kamu yang tidak bisa mendaftar di utbk 2021, kamu masih berpeluang masuk undip lewat jalur ini. Peserta yang memilih prodi terkait olahraga dan seni dikenakan biaya tambahan rp 150.000 per. Jalur seleksi mandiri upi merupakan jalur seleksi penerimaan mahasiswa baru yang dikelola secara langsung oleh pihak upi. Seleksi mandiri 2021 dapat diikuti oleh siswa lulusan tahun 2019, 2020, dan 2021 dari pendidikan menengah (sma/ma/smk dan sederajat), serta lulusan paket c tahun 2019, 2020, dan 2021 dengan umur maksimal 25 tahun pada saat mendaftar seleksi. Pendaftaran seleksi mandiri di unpad tahun 2021 diperpanjang, kesempatan bagi yang gagal sbmptn. Pendaftaran seleksi mandiri 2021 di berbagai ptn sudah dimulai. Pastikan anda sudah membaca panduan pendaftaran sm upi 2021.

Program studi dan daya tampung smits 2021 atau skmp di its. Keikutsertaan dalam utmbk dan/atau tes. Biasanya seleksi mandiri akan dibuka setelah ketiga proses seleksi di atas telah selesai. Jangan menunggu ujian dimulai dan jangan kasih kendor. Informasi seleksi mandiri perguruan tinggi negeri tahun akademik 2021/2022.

Jalur daftar upi terakhir adalah seleksi mandiri (sm). Biaya Mahasiswa Jalur Mandiri Upi Rp 38 Juta Unpad Rp 250 Juta Tekno Tempo Co
Biaya Mahasiswa Jalur Mandiri Upi Rp 38 Juta Unpad Rp 250 Juta Tekno Tempo Co from statik.tempo.co
Jadwal pendaftaran seleksi mandiri upi sampai 2 juli 2021. Jalur seleksi mandiri ini bisa menjadi jalur alternatif terakhir bagi kalian. Pendaftaran seleksi mandiri awalnya ditutup pada 8 juni lalu, bersumber dari laman smup.unpad.ac.id, jadwal tersebut diperpanjang hingga tanggal 17 juni 2021 pukul 15.00 wib. Informasi seleksi mandiri perguruan tinggi negeri tahun akademik 2021/2022. Jadi buat brainies yang mau daftar seleksi mandiri uns, berikut informasi lengkapnya. Artikel ini memberikan rincian seleksi mandiri universitas sepuluh maret (uns) tahun 2021. Setiap tahun pendaftaran seleksi mandiri upi bandung selalu mendapatkan peminat dari calon mahasiswa baru yang ingin melanjutkan kuliah di universitas pendidikan indonesia. Ukt serta biaya berupa uang pangkal mahasiswa yang masuk dari seleksi mandiri upi umumnya lebih besar dari snmptn maupun sbmptn.

Informasi seleksi mandiri perguruan tinggi negeri tahun akademik 2021/2022.

Sebelum mamikos menginformasikan tentang pengumuman hasil seleksi ujian mandiri sm upi tahun 2021, mamikos akan terlebih dahulu menginformasikan tentang sekilas pendaftarannya. Namun secara umum jadwal pendaftaran seleksi jalur mandiri 2021 untuk sebagian besar ptn dibuka sejak mei 2021. Seleksi mandiri upi akan dilaksanakan melalui ujian tulis berbasis komputer (utbk). Seleksi mandiri universitas brawijaya merupakan seleksi masuk yang diselenggarakan secara mandiri oleh universitas brawijaya untuk program sarjana (s1) dan vokasi (d3 & d4). Jalur mandiri • pendaftaran » pendaftaran dan biaya seleksi mandiri upi 2021. Hasil nilai utbk dapat digunakan kembali untuk mengikuti jalur mandiri ptn. Keikutsertaan dalam utmbk dan/atau tes. Artikel ini memberikan rincian seleksi mandiri universitas sepuluh maret (uns) tahun 2021. Jalur seleksi mandiri itb 2021 memberi kesempatan lebih luas bagi siswa lulusan sma baik wni dan wna untuk mengikuti pendidikan program sarjana di institut teknologi bandung. Akan tetapi, kamu harus mempersiapkan diri untuk mengikuti ujian online yang. Seleksi mandiri universitas brawijaya merupakan seleksi masuk yang diselenggarakan secara mandiri oleh universitas brawijaya untuk. Seleksi dilaksanakan berdasarkan penilaian hasil ujian tulis berbasis komputer (utbk) tahun 2021 serta. Untuk kalian yang sebelumnya telah mengikuti sbmptn.

Jalur seleksi mandiri upi merupakan jalur seleksi penerimaan mahasiswa baru yang dikelola secara langsung oleh pihak upi. Download seleksi mandiri upi 2021. Ya, inilah jalur pamungkas masuk ptn. Jalur daftar upi terakhir adalah seleksi mandiri (sm). Langsung persiapkan seleksi mandiri 2021.

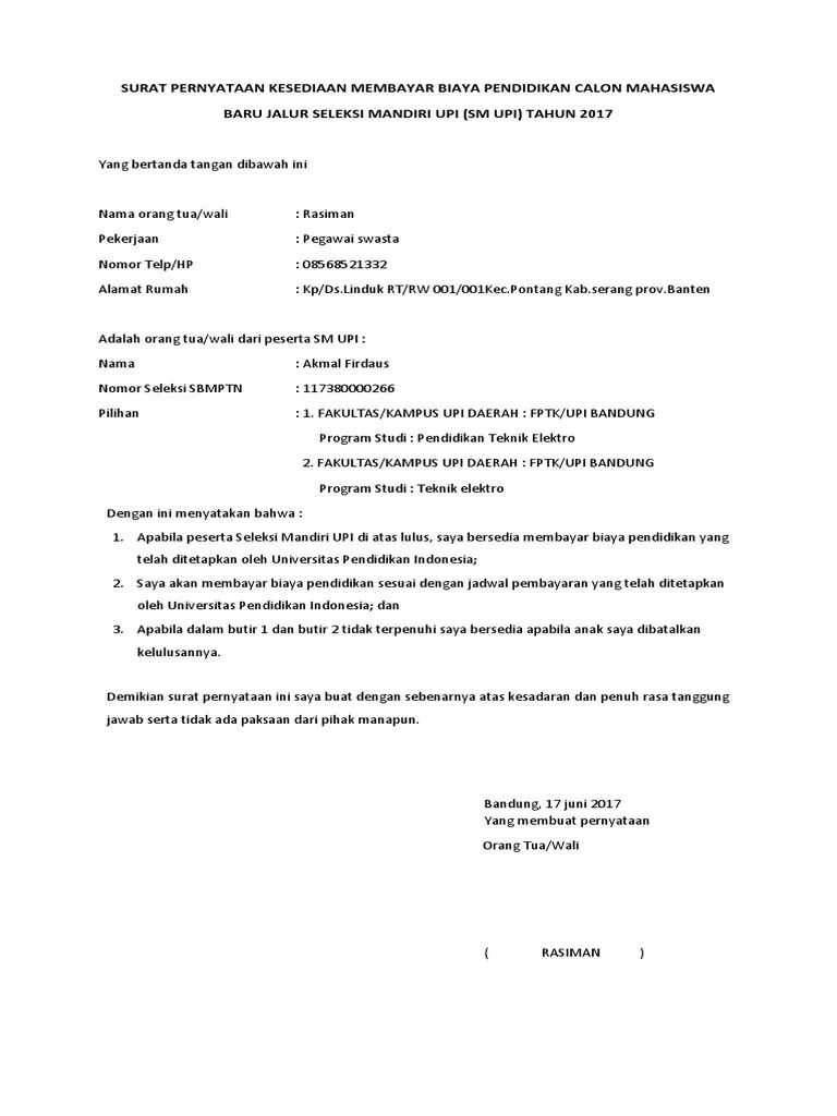
Ukt serta biaya berupa uang pangkal mahasiswa yang masuk dari seleksi mandiri upi umumnya lebih besar dari snmptn maupun sbmptn. Pendaftaran Ujian Mandiri Sm Upi Online 2021 2022 Mamikos Info
Pendaftaran Ujian Mandiri Sm Upi Online 2021 2022 Mamikos Info from blog-static.mamikos.com
Jalur seleksi mandiri ini bisa menjadi jalur alternatif terakhir bagi kalian. Sebelum mamikos menginformasikan tentang pengumuman hasil seleksi ujian mandiri sm upi tahun 2021, mamikos akan terlebih dahulu menginformasikan tentang sekilas pendaftarannya. Pendaftaran seleksi mandiri awalnya ditutup pada 8 juni lalu, bersumber dari laman smup.unpad.ac.id, jadwal tersebut diperpanjang hingga tanggal 17 juni 2021 pukul 15.00 wib. 37018/un31.wr.3/km.03.03/2021 tanggal 9 juli 2021 mengenai lomba simulasi mengajar (lsm) universitas pendidikan indonesia (upi) tingkat nasional 2021, kami sampaikan hasil seleksi lsm upi tingkat universitas terbuka 2021 untuk selanjutnya mahasiswa. Jangan menunggu ujian dimulai dan jangan kasih kendor. Pengumuman hasil akhir seleksi sbmptn 2021 upi universitas pendidikan indonesia, daftar nama yang lulus sbmptn upi 2021, cara melihat hasil informasi ini disampaikan terutama untuk calon mahasiswa yang sudah mendaftarkan diri mengikuti seleksi jalur atau jalur sbmptn upi universitas. Pendaftaran seleksi mandiri di unpad tahun 2021 diperpanjang, kesempatan bagi yang gagal sbmptn. Jadwal pendaftaran seleksi mandiri upi sampai 2 juli 2021.

Jalur seleksi nasional snmptn, sbmptn, seleksi mandiri reguler, seleksi mandiri prestasi istimewa dan terakhir jalur penjaringan prestasi selanjutnya, untuk indikator penilaian seleksi mandiri upi 2021 juga menggunakan nilai tes utbk, tes psikologi bidang minat, dan tes terpadu.

Sebelum mamikos menginformasikan tentang pengumuman hasil seleksi ujian mandiri sm upi tahun 2021, mamikos akan terlebih dahulu menginformasikan tentang sekilas pendaftarannya. Please fill this form, we will try to respond as soon as possible. Seleksi mandiri upi akan dilaksanakan melalui ujian tulis berbasis komputer (utbk). Sekarang ini sudah banyak kampus negeri yang membuka jalur mandirinya. Setiap tahun pendaftaran seleksi mandiri upi bandung selalu mendapatkan peminat dari calon mahasiswa baru yang ingin melanjutkan kuliah di universitas pendidikan indonesia. Nah, salah satu ptn favorit yang setiap tahunnya selalu menjadi incaran pendaftar adalah universitas negeri yogyakarta (uny). Jadi, buat kamu yang tidak bisa mendaftar di utbk 2021, kamu masih berpeluang masuk undip lewat jalur ini. Seleksi mandiri universitas brawijaya merupakan seleksi masuk yang diselenggarakan secara mandiri oleh universitas brawijaya untuk program sarjana (s1) dan vokasi (d3 & d4). Report seleksi mandiri upi 2021. Jalur seleksi mandiri itb 2021 memberi kesempatan lebih luas bagi siswa lulusan sma baik wni dan wna untuk mengikuti pendidikan program sarjana di institut teknologi bandung. Ukt serta biaya berupa uang pangkal mahasiswa yang masuk dari seleksi mandiri upi umumnya lebih besar dari snmptn maupun sbmptn. Pengumuman hasil akhir seleksi sbmptn 2021 upi universitas pendidikan indonesia, daftar nama yang lulus sbmptn upi 2021, cara melihat hasil informasi ini disampaikan terutama untuk calon mahasiswa yang sudah mendaftarkan diri mengikuti seleksi jalur atau jalur sbmptn upi universitas. Biasanya seleksi mandiri akan dibuka setelah ketiga proses seleksi di atas telah selesai.

Seleksi Mandiri Upi 2021 : Pengumuman Snmptn Utbk Sbmptn Upi 2021 Jadwal Syarat Hasil - Please fill this form, we will try to respond as soon as possible.. Pengumuman hasil akhir seleksi sbmptn 2021 upi universitas pendidikan indonesia, daftar nama yang lulus sbmptn upi 2021, cara melihat hasil informasi ini disampaikan terutama untuk calon mahasiswa yang sudah mendaftarkan diri mengikuti seleksi jalur atau jalur sbmptn upi universitas. Seleksi mandiri upi memfasilitasi banyaknya calon mahasiswa yang berpotensi tinggi namun belum dapat lulus pada seleksi snmptn dan sbmptn, ujarnya melalui keterangan pers yang diterima, rabu (26/8). Artikel ini memberikan rincian seleksi mandiri universitas sepuluh maret (uns) tahun 2021. So please help us by uploading 1 new document or like us to download Jalur seleksi mandiri itb 2021 memberi kesempatan lebih luas bagi siswa lulusan sma baik wni dan wna untuk mengikuti pendidikan program sarjana di institut teknologi bandung.

Posting Komentar untuk "Seleksi Mandiri Upi 2021 : Pengumuman Snmptn Utbk Sbmptn Upi 2021 Jadwal Syarat Hasil - Please fill this form, we will try to respond as soon as possible."